近日,光学与电子信息学院马骁博士与合作者共同在分子动力学领域取得重大突破。相关研究成果以”Configuration Dynamics of Active Polymer Chain with Actively Driven Regions”为题发表在《Chinese Journal of Chemical Physics》上。
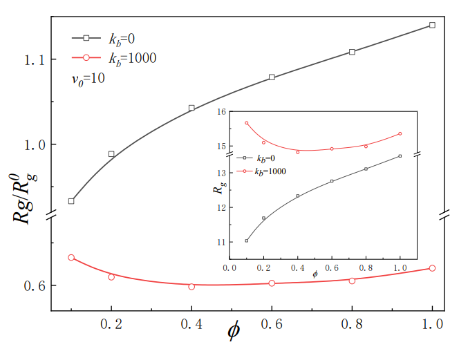
为研究二维空间内聚合物链的构象动力学,采用了朗之万动力学模拟方法。本研究中的聚合物链由两种珠子构成:被动布朗粒子与活性布朗粒子。研究重点关注聚合物链的均方回转半径对活性位点比例的依赖关系。研究发现,随着活性位点比例的增加,柔性链的均方回转半径呈单调递增趋势;而对于半柔性聚合物链,其均方回转半径则表现出非单调变化。此外,当活性位点比例固定时,随着活性强度的增加,聚合物链的均方回转半径同样呈现非单调变化。这一现象源于活性半柔性链的两种效应之间的相互作用:其一为聚合物链因刚性产生的拉伸效应,其二为聚合物链因活性位点产生的折叠效应。当活性位点比例达到足够大时,活性会起到类似 “有效高温” 的作用,使聚合物链的均方回转半径增大。

图1 随着活性位点比例φ 的增加,柔性(a-c)和半柔性(d-f)活性聚合物链的典型快照。 
图2 在v₀ = 10的条件下,柔性链与半柔性链的聚合物链均方回转半径归一化值Rg/R₀g随活性位点比例φ的变化关系。
通过分子动力学模拟与实验验证相结合的方法,首次系统揭示了 “活性驱动区域” 对聚合物链构象演变的动态调控机制—明确了驱动区域的分布密度、运动强度与聚合物链折叠效率的定量关系。该成果为高分子功能材料的精准设计提供了关键理论支撑,相关数据已通过中国科学技术大学出版社期刊平台向全球科研界开放共享。该论文的完成依托了江苏省高等学校基础科学(自然科学)研究面上项目与苏州城市学院国家级项目预研课题。
原文链接:https://cjcp.ustc.edu.cn/hxwlxb/en/search



